
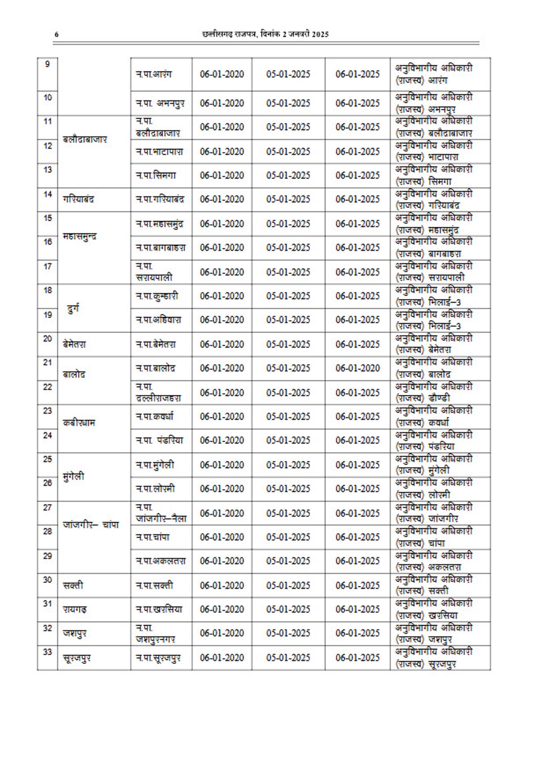
रायपुर। नगरीय प्रशासन विभाग ने निगमों के बाद सभी पालिका परिषदों में भी प्रशासक नियुक्त कर दिए हैं । सभी जगह एसडीओ राजस्व को प्रशासक बनाया गया है।
Thank you for reading this post, don't forget to subscribe!

रायपुर। नगरीय प्रशासन विभाग ने निगमों के बाद सभी पालिका परिषदों में भी प्रशासक नियुक्त कर दिए हैं । सभी जगह एसडीओ राजस्व को प्रशासक बनाया गया है।
Thank you for reading this post, don't forget to subscribe!